9급 1호봉 본봉만 200 넘김
(작년은 187만 원)
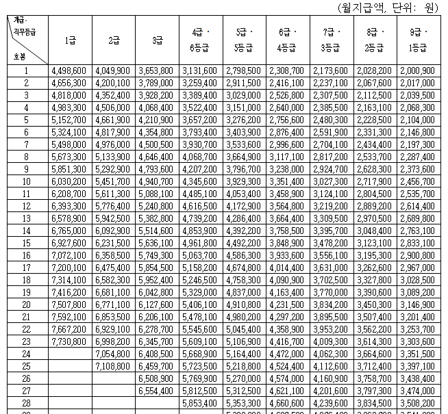
위 표를 기준으로
공무원 중 제일 급여가 적다는
지방교육청 신규공무원 연봉 계산해봤음
(학교 근무 가정, 올해부터 1년 미만도 정근수당 신설되고 지급률도 인상됨)
<여자(9급 1호봉)>
• 본봉: 2,000,900 * 12 = 24,010,800
• 직급보조비: 175,000 * 12 = 2,100,000
• 정액급식비: 140,000 * 12 = 1,680,000
• 정근수당가산금: 30,000 * 12 = 360,000
• 학교운영수당: 30,000 * 12 = 360,000
• 시간외근무수당(정액분): 105,790 * 12 = 1,269,480
• 명절휴가비: 2,000,900 * 60% * 2 = 2,401,080
• 정근수당: 2,000,900 * 10% * 1 = 200,900
• 복지포인트: 850,000
※ 합계: 33,232,260 (월 2,769,355)
<남자(9급 2호봉 6개월, 3호봉 6개월)>
• 본봉: 2,017,000 * 6 + 2,039*500 * 6 = 24,339,000
• 직급보조비: 175,000 * 12 = 2,100,000
• 정액급식비: 140,000 * 12 = 1,680,000
• 정근수당가산금: 30,000 * 12 = 360,000
• 학교운영수당: 30,000 * 12 = 360,000
• 시간외근무수당(정액분): 105,790 * 12 = 1,269,480
• 명절휴가비: 2,017,000 * 60% + 2,039,500 * 60% = 2,433,900
• 정근수당: 2,039,500 * 20% * 1 = 407,900
• 복지포인트: 850,000
※ 합계: 33,800,280 (월 2,816,690)
성과상여금은 1년 차에는 못 받아서 제외함
(세전임)
매달 받는 것만 치면 세전 248만 원쯤 됨
- 선택됨
- 현재 페이지1

복지포인트가 850,000이라니~~~
근거를 대시오~~
기본포인트 30점 근속점수 2점 가족점수가 나머진데 대체 애를 몇이나 둔건가요?